Николаев Семен Александрович
Правда о Солнце и всё о Солнце

Самиздат: [Регистрация] [Найти] [Рейтинги] [Обсуждения] [Новинки] [Обзоры] [Помощь|Техвопросы]
Ссылки:
Школа кожевенного мастерства: сумки, ремни своими руками Типография Новый формат: Издать свою книгу
 Ваша оценка:
  • Аннотация:
    Теперь о том, что о Солнце пишет академическая наука? Из ВИКИПЕДИИ: "....Со́лнце - одна из звёзд нашей галактики (Млечный Путь) и единственная звезда Солнечной системы. Вокруг Солнца обращаются другие объекты этой системы: планеты и их спутники, карликовые планеты и их спутники, астероиды, метеороиды, кометы и космическая пыль. По спектральной классификации Солнце относится к классу G2V. Средняя плотность Солнца составляет 1,4 г/см³. Эффективная температура поверхности Солнца [фотосфера] - 5506№С. Солнечное излучение поддерживает жизнь на Земле (свет необходим для начальных стадий фотосинтеза) и определяет климат. Светимость Солнца (суммарное количество энергии, выделяемое Солнцем за одну секунду) 3,827⋅1026 Вт. Масса Солнца 1,98847⋅1030 кг, она составляет 99,866% от суммарной массы всей Солнечной системы. Солнце - ближайшая к Земле звезда. Средняя удалённость Солнца от Земли - 149,6 млн. км. Видимый угловой размер Солнца при наблюдении с Земли, как и у Луны, - чуть больше пол градуса. Размер Солнца 1,5 млн. км в диаметре. Солнце находится на расстоянии около 26.000 световых лет от центра Млечного Пути и обращается вокруг него, делая один оборот за 225-250 миллионов лет. Орбитальная скорость Солнца равна 217 км/с. Солнце расположено в одном из рукавов нашей галактики. Абсолютная звёздная величина Солнца +4,83m. Какова плотность центральной части Солнца? Значения плотности вещества в центральной части Солнца будут зависеть от принятой модели внутреннего строения Солнца. Принятая в настоящее время модель, внутреннего строения Солнца, следующая. Весь объём Солнца: водород - 80%, гелий - 18,5% и все остальные химические элементы - 1,5%. Активная зона: водород - 38%, гелий - 60% и все остальные химические элементы - 2%. При этом плотность вещества в активной зоне (1,32-1,58)ּ105 кг/м3 и "температура" 14,8ּ млн. градусов. Считается, что основная термоядерная реакция синтеза в настоящее время у Солнца - это протонно-протонный цикл...". Вот и всё. Больше сказать официальной науке нечего. Сейчас мы всё это разберём.-

Этот доклад является продолжением доклада "Как образовались звёзды и Солнце"
  http://samlib.ru/n/nikolaew_s_a/kakobrazowalisxzwezdyisolnce.shtml
  
  Видеодоклад на Ютубе
  https://www.youtube.com/watch?v=TFQChvQiDA4
  
  Видеодоклад на Рутубе
  https://rutube.ru/video/fe9531a52844d98e1002b25587cd8ad8
  
  
Правда о Солнце и всё о Солнце.
  
   Аннотация.
  Для того, чтобы разобраться во всех тайнах Солнца, которые до сих пор не может объяснить академическая наука, надо сначала представить себе, как и из чего образовалось Солнце. Очень коротко об этом.
  Всё вещество Вселенной сосредоточено в галактиках.
  Новая космологическая теория называется "Разновозрастная Вселенная".
  Что значит, "Разновозрастная Вселенная"???????
  В "Разновозрастной Вселенной" одни галактики (это светящиеся галактики и квазары) в настоящее время излучают обменные частицы, которые создают эфир, другие галактики (это потухшие галактики) переизлучают обменные частицы, а третьи ("чёрные дыры") только поглощают обменные частицы и эфир.
  Только в таком непрерывном круговороте возможно существование данной модели эфира и всей Вселенной в целом.
  Только в разновозрастной Вселенной может существовать материя и происходить её эволюционный круговорот.
  Сначала внешне. Внешне во Вселенной тихо и темно. Тихо потому, что в космосе нет воздуха, а значит, нет и звука. А темно, потому что звёзды расположены далеко друг от друга и видны только как светящиеся точки. Галактики расположены ещё дальше друг от друга чем звёзды и если видны, то, как небольшие туманности. Однако большинство галактик не светящиеся и они не видны.
  Все галактики разные и отличаются друг от друга. Различие в основном связано с массой и возрастом от момента "рождения". Но структурно все галактики являются спиральными.
  
  Так как вещество обладает гравитационным эффектом, то все галактики Вселенной связаны между собой гравитационным взаимодействием. И поэтому галактики образуют между собой скопления галактик и сверхскопления галактик.
  Галактики вращаются по инерции вокруг своего центра масс и одновременно обращаются по инерции вокруг центра масс скопления галактик, в которые они входят. Скопления галактик в свою очередь обращаются по инерции вокруг центра масс сверхскопления, в которые они входят.
  Итак, получается, что все галактики, скопления галактик и сверхскопления вечно кружатся.
  Все они движутся по своим орбитам и столкнуться между собой не могут.
  Столкнуться между собой макрообъекты не могут.
  Почему?????? Их орбиты не пересекаются.
  Если об этом пишут, то это невежество или обман.
  Никакого хаоса макроматерии во Вселенной нет.
  Все временные эволюционные процессы происходят в галактиках. То есть круговорот материи, если конкретно, то вещества, происходит в каждой галактике независимо от других. Каждый цикл круговорота можно разбить условно на 4, вечно повторяющихся, этапа. Все они связаны с плотностью вещества. Вот какие названия я им дал.
  Первый этап - "чёрная дыра".
  Второй этап - квазар и водородные облака.
  Третий этап - светящаяся галактика.
  Четвёртый этап - потухшая, проэволюционировавшая галактика.
  
   Первый этап - "чёрная дыра". Жизнь галактики начинается и заканчивается состоянием, когда всё вещество галактики сосредотачивается в очень малом объёме, в сверхплотном состоянии.
  Затем галактическая "чёрная дыра" становится в режим поглощения и сбора обменных частиц фотонов, нейтрино и эфирных частиц, которые были излучены на предыдущих этапах.
  Вероятно, в состоянии "чёрной дыры", галактика будет находиться столько же времени, сколько и светящаяся галактика. Когда вещество "чёрной дыры" соберёт все утраченные на предыдущих этапах обменные частицы, то стационарность нарушится и наступит следующий этап.
   Второй этап - квазар и водородные облака. Эфир не сможет удержать вещество с полным комплектом обменных частиц (водородные облака) в объёме без обменных частиц ("чёрная дыра"). Никаких взрывов не будет.
  Вещество в виде двух струй (джетов) начнёт истекать из полюсов "чёрной дыры", образуя облака, состоящие на 100% из водорода. Такую модель уже называют квазар. Это условно рождение галактики.
  Излучение от квазара в радиодиапазоне.
  Далее под действием гравитации в сгустках водородных облаков будут образовываться протозвёзды. Когда в центре протозвезды будут достаточные условия для начала термоядерного синтеза - протозвезда засветится и наступит третий этап.
  Плотность вещества на втором этапе минимальная - плотность газообразного водорода.
   Третий этап - светящаяся галактика.
  Через некоторое время в галактике начинают вспыхивать звёзды.
  Но так как вещество при рождении галактики истекает из полюсов в виде двух струй, то, в конце концов, спиральная структура проявляется.
  Б
  1. Сначала о том, что о Солнце пишет академическая наука?
  Из ВИКИПЕДИИ:
  "....Со́лнце - одна из звёзд нашей галактики (Млечный Путь) и единственная звезда Солнечной системы. Вокруг Солнца обращаются другие объекты этой системы: планеты и их спутники, карликовые планеты и их спутники, астероиды, метеороиды, кометы и космическая пыль.
  По спектральной классификации Солнце относится к классу G2V. Средняя плотность Солнца составляет 1,4 г/см³. Эффективная температура поверхности Солнца [фотосфера] - 5506?С.
  Солнечное излучение поддерживает жизнь на Земле (свет необходим для начальных стадий фотосинтеза) и определяет климат. Светимость Солнца (суммарное количество энергии, выделяемое Солнцем за одну секунду) 3,827⋅1026 Вт.
  Масса Солнца 1,98847⋅1030 кг, она составляет 99,866% от суммарной массы всей Солнечной системы.
  
  Солнце - ближайшая к Земле звезда. Средняя удалённость Солнца от Земли - 149,6 млн. км. Видимый угловой размер Солнца при наблюдении с Земли, как и у Луны, - чуть больше пол градуса. Размер Солнца 1,5 млн. км в диаметре. Солнце находится на расстоянии около 26.000 световых лет от центра Млечного Пути и обращается вокруг него, делая один оборот за 225-250 миллионов лет. Орбитальная скорость Солнца равна 217 км/с.
  Солнце расположено в одном из рукавов нашей галактики. Абсолютная звёздная величина Солнца +4,83m.
   Какова плотность центральной части Солнца?
  Значения плотности вещества в центральной части Солнца будут зависеть от принятой модели внутреннего строения Солнца. Принятая в настоящее время модель, внутреннего строения Солнца, следующая. Весь объём Солнца: водород - 80%, гелий - 18,5% и все остальные химические элементы - 1,5%. Активная зона: водород - 38%, гелий - 60% и все остальные химические элементы - 2%. При этом плотность вещества в активной зоне (1,32-1,58)ּ105 кг/м3 и "температура" 14,8ּ млн. градусов. Считается, что основная термоядерная реакция синтеза в настоящее время у Солнца - это протонно-протонный цикл...".
  Вот и всё. Больше сказать официальной науке нечего.
  Сейчас мы всё это разберём.-
  
  2. Эволюционный процесс, связанный с материей, направлен на её усложнение и в конечном итоге - компактность.
  Основной этап эволюционного усложнения вещества происходит в звёздах при термоядерном синтезе химических элементов. Начальным химическим элементом является водород.
  Термоядерный синтез происходит под действием гравитационного эфира. Взаимодействующие частицы должны сблизиться на критическое расстояние, а между ними должен оказаться электрон - это будет являться необходимым условием, и излучить обменные частицы нейтрино и фотоны - это будет являться уже достаточным условием термоядерного синтеза. Наибольшее количество обменных частиц содержит первоэлемент водород. Излучение веществом звезды всех обменных частиц может превратить звезду, если у неё для этого достаточная масса, в нейтронную, а затем при потере зарядов и в "чёрную дыру".
  Если масса звезды небольшая, то будет просто потухшая звезда, как, например, Юпитер, Сатурн, Уран и Нептун. Наша планетарная система кратная. Она состоит из светящейся звезды - Солнце и четырёх потухших: Юпитер, Сатурн, Уран и Нептун. Как видите, раньше прогорают звёзды с меньшей массой.
  Свою жизнь звезда начинает с голубого цвета, а заканчивает красным цветом. Стационарное состояние звезды за её жизнь неоднократно будет прерываться взрывами и выбросом вещества. Это закономерные эволюционные взрывы, связанные с периодически повторяющейся "тепловой неустойчивостью" в центре звезды. Из выброшенного звездой вещества будут образовываться сначала кометы, а затем и планеты, обязательно с твёрдой поверхностью и правильными формами эллипсоида вращения. Вероятно, звёзды взрываются 7 раз, по числу периодов в таблице Менделеева.
  
  3. О внутреннем строении Солнца.
  Все эти цифры внутреннего строения Солнца ошибочные, взятые с "потолка" и никаких обоснований не имеющие. Что за теоретики, придумавшие плотность вещества в 100 раз превосходящую нормальную, а температуру в миллионы градусов. Атомы обычного вещества несжимаемы. Об этом написано в 19 разделе первой главы. Поэтому плотность в центре звезды не может быть больше плотности кристаллических веществ, таких, например, как иридий или осмий.
  Таким образом, пропорции химических элементов, из которых состоит Солнце, будут другими. Солнце светит уже 5 млрд. лет и ни водорода, ни гелия в активной зоне уже давно нет. Они вытеснены на периферию. Какая основная реакция (на самом деле одновременно происходит не одна реакция) термоядерного синтеза неизвестно и фантазировать на эту тему нет никаких оснований.
  Исходя из средней плотности Солнца, его объёма, максимальной плотности в центре и на периферии, можно смоделировать распределение плотности от центра до окраин. Это распределение плотности даст возможность определить примерный состав химических элементов, из которых в настоящее время состоит Солнце. Совершенно очевидно, что состав будет очень сильно отличаться от официально принятого. Предлагается другая модель внутреннего строения Солнца. Плотность в активной зоне Солнца надо представить не за счёт сжатия лёгких химических элементов, а за счёт процентного увеличения массы "тяжёлых" элементов. Вещество внутри Солнца сопротивляется сжатию и образованию нейтронного вещества. Сжатие происходит только скачком при очень большом давлении. Результат такого сжатия - это плотность нейтронного вещества, естественно, это может быть только в нейтронных звёздах.
  Процесс уплотнения вещества идёт постепенно путём термоядерного синтеза более "тяжёлых" элементов, а не путём сжатия. Считается, что Солнце прошло более половины первого этапа усложнения (компактности) вещества (первый этап - обычная звезда). Второй этап (нейтронная звезда) сможет произойти лишь при максимально проэволюционировавшем веществе и при наличии достаточной массы (как считают учёные, масса должна быть десять солнечных). Это необходимые и достаточные условия для перехода плотности обычной звезды к плотности нейтронного вещества. Переход обычной звезды в нейтронную происходит только скачком. При этом плотность увеличивается скачком 1015 раз.
  Если массы не хватает, то проэволюционировавшая звезда останется, вероятно, просто потухшей. Как, например, Юпитер, Сатурн, Уран и Нептун.
  
  4. Белые карлики и красные гиганты.
  Все виды вещества с разной плотностью созданы с участием гравитационного эфира и удерживается им.
  Существует три основные плотности вещества:
   1). Обычное вещество (водородные облака, протозвёзды, светящиеся звёзды, потухшие звёзды, кометы и планеты) с удельной плотностью до  [] .
  2). Вещество нейтронных звёзд, а также элементарные частицы вещества с удельной плотностью  [] .
  3). Вещество "чёрной дыры" с удельной плотностью  [] .
  Если возникнут сотни вопросов, то о плотности вещества на различных этапах эволюционного цикла подробно рассказано в разделах "18. Эфир. Состав и структура материи." и "19. Элементарные частицы и строение вещества." книги "Эволюционный круговорот материи во Вселенной", 8 издание.
  Считается, что состояние звезды в виде белого карлика - это промежуточное состояние при переходе обычной звезды в нейтронную. Однако это не так. Изменение плотности вещества от обычного до нейтронного происходит только скачком раз. Белый карлик - это нейтронная звезда в кратной системе. Почти все планетарные системы во Вселенной кратные. Нейтронная звезда несветящийся объект. Свечение белого карлика происходит только за счёт непрерывной аккреции вещества от других объектов кратной системы. Только так можно объяснить белый цвет.
  Также в астрофизике укоренилось мнение, что в конце жизни обычная звезда превращается в красный гигант. Этот процесс преподносили, как одну из стадий эволюции звезды. Однако, это всего лишь необоснованные предположения, противоречащие законам физики. А законы физики утверждают, что масса звезды жестко связана с размерами и светимостью конкретно для каждого спектрального класса. Во Вселенной существуют гигантские звёзды во всех спектральных классах, начиная от голубого и кончая красным. У этих гигантов и соответствующая их размерам и светимости гигантская масса. Однако быть гигантской звездой по размерам и светимости, но иметь при этом малую массу - это противоречит законам физики, всему нужны конкретные доказательства. А законы гравитации для любых газов едины. Кроме того, изменение плотности вещества от обычного до нейтронного происходит только скачком 1015 раз, что связано с изменением внутренней структуры атомов.
  Структурно обычное вещество состоит из атомов и молекул. Атомы вещества состоят из ядер, в которых сосредоточена почти вся их масса, и из электронов, обращающихся по своим орбитам. Размеры ядер 10-15 м. Размеры самих атомов, которые определяются орбитами внешних электронов, равны 10-10 м. Внутри этого объёма кроме ядра ничего нет. Необходимо представлять насколько обычное вещество "пустое". Плазма, из которой состоят светящиеся звёзды, также обычное вещество, только ядра и электроны атомов всё время то распадаются, то вновь рекомбинируют, не давая веществу сжаться до нейтронного состояния.
  
  5. Магнитное поле Солнца.Физический процесс конвекционного движения вещества в звёздах (потухших и светящихся) похож на кипящую воду, подогреваемую изнутри звезды. С одной стороны на атомы вещества действует сила конвекционного движения вверх, а с другой стороны движение вниз, представляющее собой силу гравитационного притяжения, которое удерживает весь объём звезды в стационарном состоянии. Таким образом, в этом объёме присутствуют как минимум два движения (кроме Броуновского) вверх и вниз. Каков этот процесс? Насколько малы или велики однородные участки вещества, поднимающиеся вверх и опускающиеся вниз? Вероятно, можно предположить, что эти размеры соизмеримы с размерами гранул (около 1000 км). Поднимающиеся и опускающиеся участки вещества должны получать ещё вращение в направлении движения по правилу винта, а также одновременно обладать общим движением вместе с вращением Солнца.
  Мы нашли механизм образования магнитных полей у планетных тел Солнечной системы. Теперь попробуем найти природу возникновения магнитных полей у светящихся и потухших звёзд. Светящиеся и потухшие звёзды - это газовые гиганты. У них нет твёрдой поверхности, а масса намного больше масс планетных тел.
  У потухших звёзд тепловой поток из недр, например Юпитера в 1.000 раз мощнее, чем, например, у Земли (табл.3).
  У светящихся звёзд тепловой поток из недр, например, у Солнца в 1.000.000 раз мощнее, чем у потухших звёзд (табл.3). Поэтому конвекционные процессы у светящихся звёзд будут намного интенсивнее, чем у потухших звёзд.
  Учитывая эти и другие отличия, необходимо подобрать модель генератора и отыскать его элементы в масштабе Солнца и Юпитера. Сначала рассмотрим доступную для наблюдений структуру Солнца и картину его магнитного поля. В помощь используем статью из Интернета автора Л.С. Ширшова:
  "....Солнечная атмосфера состоит из нескольких слоёв. Самый глубокий и тонкий из них - фотосфера, непосредственно наблюдаемая в видимом непрерывном спектре. Толщина фотосферы 300 км. Чем глубже слои фотосферы, тем они горячее. Во внешних более холодных слоях фотосферы на фоне непрерывного спектра образуются фраунгоферовы линии поглощения. Во время наибольшего спокойствия земной атмосферы в телескоп можно наблюдать характерную зернистую структуру у фотосферы. Чередование маленьких светлых пятнышек гранул, размером около 1.000 км, окружённых тёмными промежутками, создаёт впечатление ячеистой структуры - грануляции.
  Возникновение грануляции связано с проходящей под фотосферой конвекцией. Отдельные гранулы на несколько сотен градусов горячее окружающего газа, и в течение нескольких минут их распределение по диску Солнца меняется. Спектральные измерения свидетельствуют о движении газа в гранулах, похожих на конвективные. В гранулах газ поднимается, а между ними опускается. Расположенный над фотосферой слой называется хромосферой. Хромосфера отличается значительно более неправильной и неоднородной структурой. Заметно два типа неоднородностей - яркие и тёмные. По своим размерам они превышают фотосферные гранулы. В целом распределение неоднородностей образует так называемую хромосферную сетку. Как и грануляция, она является следствием движения газов под фотосферной конвективной зоне, только проходящие в более крупных масштабах.
  Считают, что магнитное поле Солнца сильнее земного в 6000 раз. Пара солнечных пятен образует пару полюсов магнитного поля, северный и южный. В годы повышенной активности магнитное поле искажено сильнее и пятен на Солнце больше. В годы спокойного Солнца пятен может не быть вовсе. Период изменения солнечной активности принято считать равным 11,2 года. Форма и размеры пятен бывают различными. Их "температура" на 1.000 - 1500 градусов ниже, чем у остальной поверхности Солнца. Специалисты НАСА, ведущие наблюдение за поведением Солнца, зарегистрировали 21.03.2001 г. переворот магнитных полюсов. Они отмечают, что северный магнитный полюс Солнца, который был в северном полушарии только несколько месяцев назад, теперь находится в южном. Полный 22-летний цикл связан с 11-летним циклом солнечной активности и переворот полюсов случается во время прохождения максимума.
  Магнитные полюса Солнца останутся теперь на новых местах до следующего перехода. Загадочен секрет этого явления, и до сих пор тайной остаётся цикличность солнечной активности. Считают, что геомагнитное поле Земли также изменяло зеркально своё направление и последний такой реверс, якобы, случился 740 тыс. лет тому назад. Некоторые исследователи полагают, что наша планета просрочила свой срок для переворота магнитных полюсов, но никто не может предсказать, когда следующий обратный ход случится.
  Хотя магнитные поля Солнца и Земли ведут себя по-разному, но они имеют общие черты. В течение минимума солнечной активности магнитное поле Солнца, как и геомагнитное поле Земли, направлено вдоль меридиана. Магнитные линии концентрируются у полюсов и разрежены в области экватора. Учёные называют такое поле дипольным, подчёркивая даже в названии существование двух полюсов. Напряжённость магнитного поля Солнца больше геомагнитного поля Земли в 100 раз. Когда солнечная активность увеличивается, тогда растёт число солнечных пятен на поверхности Солнца и магнитное поле его начинает изменяться....". В плазме заряды скомпенсированы.
  Где и как происходит ионизация плазмы и разнесение зарядов на большие расстояния? Куда текут эл. токи? Вот в этом и состоит основа модели образования магнитного поля Солнца и его полярности. У потухших звёзд (Юпитера, Сатурна, Урана и Нептуна) также есть магнитные поля.
  Какова картина магнитных полей у потухших звёзд?
  У Юпитера магнитное поле намного мощнее земного, а у остальных не менее земного. Полярность магнитных полей у Юпитера, Сатурна, Урана и Нептуна противоположная земной. Из изложенного следует, что моделью для выявления природы магнитного поля Солнца и потухших звёзд будет всё тот же генератор постоянного тока с независимым возбуждением, применённый в модели магнитного поля планетных тел с атмосферой. В таком случае одним из важнейших факторов образования эл. тока в обмотке возбуждения модели генератора постоянного тока является конвекционное движение вещества атмосферы. Непрерывный процесс конвекции в веществе атмосфер планетных тел является одновременно и причиной возникновения движущихся зарядов (ионизации). На Земле конвекционные потоки с испарившейся водой и одновременно ионизированными молекулами носят непрерывный и равномерный характер. Возврат обратно на поверхность Земли зарядов быстрый (молнии, осадки), поэтому распределённый эл. ток вверх будет всегда, а вниз иногда. Такого процесса у Солнца не может быть.
  В чём будут отличия в конвекционных процессах у Солнца?
  В модели магнитного поля Солнца, как и у Земли, должны быть обмотка возбуждения и вторичные обмотки. В обмотке возбуждения в модели магнитного поля Солнца так же, как и на Земле должен происходить конвекционный процесс с одновременной ионизацией и процесс разнесения зарядов. Но у потухших и светящихся звёзд это намного сложнее.
  Физический процесс конвекционного движения вещества в звёздах (потухших и светящихся) похож на кипящую воду, подогреваемую изнутри звезды. С одной стороны на атомы вещества действует сила конвекционного движения вверх, а с другой стороны движение вниз, представляющее собой силу гравитационного притяжения, которое удерживает весь объём звезды в стационарном состоянии. Таким образом, в этом объёме присутствуют как минимум два движения (кроме Броуновского) вверх и вниз. Каков этот процесс? Насколько малы или велики однородные участки вещества, поднимающиеся вверх и опускающиеся вниз? Вероятно, можно предположить, что эти размеры соизмеримы с размерами гранул (около 1000 км). Поднимающиеся и опускающиеся участки вещества должны получать ещё вращение в направлении движения по правилу винта, а также одновременно обладать общим движением вместе с вращением Солнца.
  Как разобраться, где и как происходит разделение вещества (плазмы, в которой заряды скомпенсированы) на заряды? А они должны быть разнесены на значительное расстояние или представлять собой круговой эл. ток из нескомпенсированных зарядов. Как могут разнестись заряды на значительное расстояние друг от друга, а затем снова рекомбинировать в нейтральные атомы с тем, чтобы общий процесс был непрерывным и представлял собой распределённый эл. ток или круговой эл. ток, например, в размерах соизмеримых с размерами гранул? Проводником вторичной обмотки будет весь объём вещества Солнца, которое состоит из плазмы. Вещество в состоянии плазмы является хорошим эл. проводником.
  Наведённый круговой эл. ток во вторичной обмотке в обратном направлении создаст общее магнитное поле Солнца. Ещё необходимо объяснить, почему возможна переполюсовка магнитного поля Солнца? Часть ответа, конечно, ясна и не вызывает сомнений. Переполюсовка происходит в период активности Солнца и, соответственно, связана с ней. А активность Солнца в свою очередь связана ходом реакций термоядерного синтеза в активной зоне. Состав реакций термоядерного синтеза таков, что накапливающийся избыток фотонов в активной зоне, прорывается наружу каждые 22 года. Интенсивность конвекционных процессов изменяется соответственно наблюдаемой активности Солнца. Ячеистая структура из равномерно распределённых гранул в фотосфере Солнца начинает изменяться. Гранулы увеличиваются до гигантских размеров (тёмные пятна).
  Общее магнитное поле ослабевает.
  Попробуем определить, какой физический процесс может составить основу модели магнитного поля Солнца. Вещество Солнца находится в состоянии "высокотемпературной" плазмы, в которой заряды далеко не разнесены друг от друга и скомпенсированы. Ионизация вещества Солнца, когда заряды разнесены на большое расстояние связана только с процессом конвекционного движения. А процесс разделения и движения зарядов будет представлять собой распределённый эл. ток. Тогда модель магнитного поля Солнца будет следующая. Вещество Солнца, находящееся в активной зоне, поднимается вверх с конвекционными потоками. В результате трения между собой различных веществ происходит ионизация. Ионы устремляются вверх, а электроны остаются по всему объёму ионизации. Однако, если есть движение вещества вверх, то где-то должно быть движение вещества снова вниз. Динамически это могут быть два устойчивых процесса циркуляции вещества в Солнце, связанной с конвекционным движением.
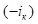
  Первый процесс циркуляции. В экваториальной части Солнца вещество с конвекционными потоками поднимается вверх и ионизируется. Затем оно движется к полюсам, там опускается вниз к центру, где ионы вновь рекомбинируют в атомы. Таким образом движение конвекционных потоков ионизированного вещества будет представлять собой распределённый эл. ток. Движение ионов вещества от центра Солнца к поверхности экватора будет представлять собой распределённый эл. ток, связанный с конвекцией. Обозначим его  [] . Солнце при данной угловой скорости вращения и его размерах имеет довольно большую линейную скорость на экваторе. Линейная скорость на экваторе максимальная и убывает к полюсам. На полюсах линейная скорость нулевая и эффект образования составляющей распределённого эл. тока от вращения будет также нулевым. Экваториальные конвекционные потоки ионизированного вещества Солнца одновременно вращаются со всей массой Солнца и поэтому будут представлять собой ещё одну составляющую распределённого эл. тока. Обозначим его  [] . Тогда результирующая этих двух электрических токов  [] будет обладать обоими свойствами. Это изображено на рис. 23.
    []
   (+ ) (+ )
   ( )
   Рис. 23
  Этот распределённый эл. ток обмотки возбуждения наведёт во вторичной обмотке эл. ток противоположного направления. В качестве вторичной обмотки будет выступать весь объём вещества Солнца, так как плазма является хорошим проводником эл. тока.
  Данная модель циркуляции вещества Солнца, связанная с конвекционными процессами, существует до тех пор, пока не наступит очередная нестабильность в активной зоне Солнца. Наступление нестабильности в активной зоне Солнца связано только лишь с характером реакций термоядерного синтеза.
  В разделе 32 этой главы рассказано о больших нестабильностях ("тепловая неустойчивость"), связанных с закономерными эволюционными взрывами звёзд. По этим же причинам между большими нестабильностями происходят малые. Например, у Солнца они имеют 22-летний цикл. Избыток фотонов, который "застрял" в активной зоне Солнца, прорывается наружу. Эта нестабильность разрушает установившийся процесс циркуляции вещества Солнца. Этот период продолжается в течение года и называется годом активного Солнца.
  Второй процесс циркуляции. В результате изменяется процесс циркуляции вещества Солнца, связанный с конвекционным движением. Теперь наоборот вещество Солнца вместе с конвекционными потоками поднимаются вверх на полюсах и ионизируются. Затем они движутся к экватору, там опускаются вниз к центру, где ионы вновь рекомбинируют в атомы. Таким образом, картина получается следующая. На экваторе ионизированное вещество опускается вниз к центру и теперь уже распределённый эл. ток будет  [] . С учётом вращения Солнца вокруг оси имеется вторая составляющая эл. тока, связанная с вращением  [] . Тогда результирующая этих двух токов  [] будет обладать обоими свойствами. Это изображено на рис. 24.
    []
   (- )
   ( )
   Рис. 24
  Итак, будет являться распределённым эл. током обмотки возбуждения генератора постоянного тока с независимым возбуждением в модели магнитного поля Солнца.
  Этот эл. ток наведёт во вторичной обмотке эл. ток противоположного направления. В качестве вторичной обмотки также будет выступать весь объём вещества Солнца. Так происходит переполюсовка полярности магнитного поля Солнца.
  Через 22 года всё повторится снова. Однако утверждение, что 22-летний цикл солнечной активности случается с точностью часов - не совсем так. Такого быть не может. Этот цикл связан с характером реакций термоядерного синтеза. Постепенно состав химических элементов, участвующих в реакциях термоядерного синтеза, в активной зоне изменяется, а вместе с ним изменяются и рассматриваемые нами процессы.
  У потухших звёзд (Юпитер, Сатурн, Уран и Нептун) все процессы в возникновении и существовании магнитного поля того же характера, как и у Солнца (и других светящихся звёзд), только интенсивность этих процессов другая. Вполне возможно, что реакции термоядерного синтеза в активной зоне потухших звёзд таковы, что эффект от них тот, который мы наблюдаем у них сейчас. Нестабильность в активной зоне потухших звёзд, связанная с "тепловой неустойчивостью", не такая мощная как у светящихся звёзд и поэтому, вероятно, не может разрушить установившуюся циркуляцию вещества и произвести тем самым переполюсовку полярности магнитного поля. Таким образом переполюсовка полярности магнитного поля у потухших звёзд Солнечной системы (Юпитер, Сатурн, Уран и Нептун), в том числе и других потухших звёзд, вероятно, отсутствует. А раз полярность магнитного поля у этих потухших звёзд одинаковая и противоположная земной, то циркуляция вещества в них будет следующая. На полюсах вещество поднимается вверх, затем движется к экватору, где опускается вниз к центру
  
  6. Тёмные пятна на Солнце.
  Тёмные пятна на Солнце открыл Галилео Галилей, благодаря сконструированному им телескопу. Объяснить наличие тёмных пятен на Солнце до настоящего времени никто не может. Форма и размеры пятен бывают различными. Академическая наука считает, что "температура" тёмных пятен на 1.000 - 1500 градусов ниже, чем у остальной поверхности Солнца.
  Солнце представляет собой плазменный шар. Физический процесс конвекционного движения вещества в звёздах (потухших и светящихся) похож на кипящую воду, подогреваемую изнутри звезды. Активность Солнца в свою очередь связана ходом реакций термоядерного синтеза в активной зоне. Состав реакций термоядерного синтеза таков, что накапливающийся избыток фотонов в активной зоне, прорывается наружу каждые 22 года.
  Интенсивность конвекционных процессов изменяется соответственно наблюдаемой активности Солнца. Ячеистая структура из равномерно распределённых гранул в фотосфере Солнца начинает изменяться. Гранулы увеличиваются до гигантских размеров (тёмные пятна).
  А теперь надо ответить на вопрос: почему тёмные пятна имеют тёмный цвет?? Всё очень просто. В активной зоне в результате реакций термоядерного синтеза преобладают фотоны мягкого рентгеновского и ультрафиолетового излучений. При спокойном Солнце фотоны пройдя путь из центра Солнца до её атмосферы всё время переизлучаются и превращаяются в излучение видимого диапазона светло жёлтого цвета. При активном Солнце скорость и интенсивность конвекционных потоков увеличивается и фотоны достигнувшие атмосферы будут ультрафиолетового диапазона, который для нашего зрения будет невидим, то есть тёмного цвета. Получается, что при активном Солнце и большой скорости конвекционного потока вещество не успевает остыть до температуры видимого диапазона. Температура остаётся высокой соответствующей ультрафиолетовому диапазону.
  
  7. Глобальное потепление - виновато Солнце.
  На протяжении всей истории Земли на её поверхности было то тепло, то холодно.
  Тепло на поверхность Земли может поступать из её недр и от Солнца. Вероятно, в очень далёкие времена тепло, поступающее из недр Земли, было существенным. Совокупность тепла от Солнца и из недр Земли устанавливает климат на поверхности Земли. Количество тепловой энергии, поступающее от каждого из этих источников, непостоянно во времени.
  С деятельностью человека (выбросы СО2) это никак не связано. Деятельность человека - это в основном поступление тепла в атмосферу от сжигания химических источников энергии. Конечно, атмосфера вблизи больших городов нагревается от этого. Но эта доля тепла ничтожна и на общий климат планеты почти не влияет. Мизерное увеличение процентного содержания (сотые процента) СО2 в атмосфере от сгорания углеводородного топлива вообще не влияет на потепление.
  Человек может приблизить лишь похолодание. Приблизить потепление невозможно.
  Похолодание может наступить в следующих случаях.
  Во-первых, когда Солнце посылает нам меньше тепла.
  Во-вторых, когда теплу от Солнца поставлен заслон в виде непрозрачности атмосферы. Как, например, 1816 год - "год без лета". Тогда на острове Сумбава (Индонезия) 5 апреля 1815 года произошло извержение вулкана Тамбора. От выброшенного вулканом пепла атмосфера Земли стала непрозрачна, и поэтому определённое количество тепла не достигло поверхности Земли.
  Земля представляет собой аккумулятор для посылаемого Солнцем тепла. В зависимости от активности Солнце посылает тепла то больше, то меньше. Земля в зависимости от прозрачности атмосферы и альбедо аккумулирует часть тепла, а остальное излучает в космическое пространство. Аккумулирующие свойства Земли определяет наличие большого количества воды (океаны) и наличие атмосферы, в которой основную роль в сохранении тепла играют облака.
  Величина тепловой энергии, излучаемой поверхностью Земли в космическое пространство, характеризуется процентным соотношением поверхностей океана и суши. Таким образом, из года в год эта величина практически постоянная.
  Если Солнце активное, то оно посылает больше тепловой энергии Земле. Излишки тепла аккумулируются в океане, а затем распределяются по всей поверхности Земли. Из года в год излишки тепловой энергии скапливаются. Наступает момент, когда ледники начинают таять. Уровень воды в океане поднимается.
  И, наоборот, если Солнце спокойное (например, минимум Маундера), то тепловой энергии на Землю поступает меньше. Всё ранее запасённое тепло расходуется на излучение в космическое пространство.
  Процессы, связанные с аккумулированием тепловой энергии поверхностью Земли, очень инерционные.
  
  Итак, климат на Земле в первую очередь зависит от количества тепловой энергии, которое Солнце посылает Земле.
  
  Эта величина непостоянная. Она связана с процессами, происходящими в недрах Солнца. Об этих процессах мы ничего не знаем, но они вызывают многочисленные эффекты на поверхности Солнца, которые мы наблюдаем и называем солнечной активностью.
  Среднегодовая солнечная активность регистрируется с 1610 года. К сожалению, в более ранний период не было телескопов, поэтому мы не располагаем более длительным рядом данных о солнечной активности.
  На рис. 12 изображён график солнечной активности в период с 1610 года по настоящее время.
  
  
    []
  
  Рис. 12
  Выявить какие-то более глобальные закономерности из этих наблюдений невозможно. Регистрацию солнечной активности производят по количеству солнечных пятен. Чем больше количество солнечных пятен, тем выше солнечная активность.
  Так, например, в течение 50 лет, входивших в период минимума Маундера, астрономы насчитали всего около 50 пятен, в то время как обычно за это время на солнечном диске возникает до 40-50 тыс. пятен. Период минимума Маундера, связанный с понижением температуры на Земле, называют малым ледниковым периодом. Закончился он в 1850 году. Это показывает на большую инерционность этих процессов.
  Повторится ли такой период снова и когда, сказать трудно.
  Однако на основании этого с уверенностью можно сказать, что нынешнее потепление на Земле связано с периодом повышенной солнечной активности.
  Приписывать нынешнее потепление на Земле другим причинам, в том числе, незначительному повышению процентного содержания в атмосфере, неправильно и невежественно.
  А что говорит об этом официальная фундаментальная наука?
  Официальная наука считает, что интенсивность излучения Солнца и "температура" поверхности Солнца, величины постоянные и связаны между собой формулой Стефана-Больцмана
    [] ,
  где:  [] - интегральная интенсивность излучения,
    [] - постоянная Стефана-Больцмана,
    [] - "температура" излучающей поверхности.
  И тогда возникают сомнения. В годы спокойного Солнца (имеется в виду период Маундера 1650 - 1700 г.) на Земле было холодно и даже этот период называют малым ледниковым. И, наоборот, в настоящее время активность Солнца от цикла к циклу (цикл - 22 года) возрастает. На Земле значительно потеплело. Учёные придумывают разные предположения о причинах потепления или похолодания. Предлагается много всего, кроме самого главного, а именно, виновато Солнце.
  В периоды активного Солнца количество энергии (в том числе и тепловой) излучается больше и, наоборот, в период спокойного Солнца энергии излучается меньше.
  Значит, интенсивность излучения поверхности Солнца то увеличивается, то уменьшается.
  Но тогда согласно формуле Стефана-Больцмана соответственно этому должна увеличиваться или уменьшаться "температура" (цвет) поверхности Солнца. Однако этого не происходит.
  Такие характеристики излучающей поверхности Солнца как спектр излучения, частота максимума излучения - "температура" (цвет) не изменяются. А что же тогда изменяется?
  Изменяется только интенсивность излучения.
  Тогда получается, что формула Стефана-Больцмана  [] для излучающей поверхности звёзд (Солнца) неправильно описывает процессы, происходящие на Солнце. В данном случае применять её нельзя. Почему? Вещество всех звёзд, в том числе и Солнца, находится в состоянии плазмы. Излучающую поверхность Солнца, состоящую из плазмы, нельзя представлять как абсолютно чёрное тело. Соответственно, "вывод" формулы  [] намеренно фальшивый. Предполагается, что абсолютно чёрное тело, находясь в равновесии, сколько поглощает, столько же и излучает. Плазма только излучает. Характеризовать её можно: спектром излучения, максимальной частотой излучения и интенсивностью излучения. При данной максимальной частоте излучения (цвет) интенсивность излучения может быть различной. Плазму характеризовать температурой нельзя. Это будет противоречить физическому пониманию температуры.
  Светящиеся звёзды (Солнце) только излучают. А вот наоборот быть не может. Плазма не может поглощать. Подумайте, что может поглощать плазма, согласно второму началу термодинамики. Применять к этим объектам рассуждения об абсолютно чёрном теле, находящемся в равновесном состоянии (излучение, поглощение), неправильно. Что тогда измеряют приборы, раз всегда получается "солнечная постоянная" равная  [] ? Солнце с "температурой" (цветом) поверхности 5770К может излучать разную интенсивность. А интенсивность излучения поверхности звёзд (Солнца) с "температурой" (цветом) не связана. Но раз Земля получает тепла то больше, то меньше, тогда ошибка таится в методах и инструментах измерения интенсивности излучения поверхностей светящихся звёзд (Солнца). Вот как происходит на практике. Пирометром измеряется цвет звезды (Солнца). Согласно табличке, по цвету определяется температура. Затем по формуле Стефана-Больцмана определяется интенсивность излучения.
  Что происходит с Солнцем в настоящее время?
  Более 10 лет назад я написал статью "Связь Солнца с климатом на Земле" для конкурса научных журналистов в Минске. Вот отрывок из статьи и на что хочу обратить Ваше внимание.
  "..... Наступает 24-й цикл солнечной активности. О его интенсивности судить пока сложно, хотя учёные делают предварительные оценки предстоящего цикла. По некоторым из них, 24-й цикл будет мощнее своего предшественника. Делать такие предположения нет никаких оснований. Никаких закономерностей в активности Солнца не обнаружено......".
   Какая активность у Солнца в 24 цикле? Я оказался прав делать предположения в данном вопросе (какой будет следующий цикл солнечной активности) невежество.
   Оказалось, что 24 цикл - это цикл спокойного Солнца. Тёмных пятен не стало. Теперь Солнце посылает нам меньше тепла.
   Что можно ожидать от этого. Земля условно вступила в период похолодания. Можно сделать некоторые оценки инерционности этих процессов. Тепла запасённого в океане в виде добавок к теплу от "неактивного" Солнца хватит на 50 или 100 лет, конечно, точно сказать нельзя. Поэтому ледники продолжат таять. От тепла, запасённого в океане, нам не избавиться.
   Это жизнь Земли в её Солнечной системе. Она такова.
   Солнце вступило в период похолодания (реально он начнётся, когда закончатся излишки тепла в океане). Сколько времени Солнце не будет активным, никто знать не может. Это может быть 22 года, а может 100 тыс. лет или более. Это связано с процессами термоядерного синтеза внутри Солнца. О них мы ничего не знаем. И делать прогнозы беспочвенно.
   ВЫВОД. Этим обманом, связанным с "парниковым" газом Комитет 300 убивает сразу двух зайцев.
   Во-первых, под видом борьбы с выбросами СО2, затормаживает развитие и прогресс всех стран на планете, кроме США.
   Во-вторых, перекладывая причину потепления с Солнца на "парниковый" газ СО2, отвлекают от ошибок в физике, в частности фальшивой формулы Стефана-Больцмана. Ведь, если узнают об ошибке в физике, то найдут и другие и тогда придётся переписывать всю физику.
  
   8. Не разгаданные тайны Солнца.
   "...Солнечная корона горячее поверхности в 200 раз.
   Температура короны достигает миллиона градусов.
   Учёные до сих пор не могут объяснить этот феномен.
   Главная тайна Солнца в его температуре. Точнее, в разнице температур. По какой-то загадочной причине внешние области атмосферы нашего светила - так называемая корона - нагреты гораздо сильнее его самого.
   На поверхности Солнца - около 6 тысяч градусов. По логике, чем дальше от него, тем должно быть прохладнее. Температуре следовало бы убывать по мере удаления от светила. Но она, наоборот, растет. В сотни раз. Внешняя атмосфера Солнца - та самая корона - нагрета аж до миллиона градусов. А местами и сильнее. Почему?... ".
   В академической науке понимание температуры вещества специально запутано. Поэтому некоторые процессы и явления не находят своих объяснений.
   Давайте коротко разберёмся, что такое температура.
   Температура - это одна из характеристик внутреннего состояния вещества. Температура связана с тепловой энергией инерцией). Она представляет собой количество тепловой энергии (инерции) в единице массы вещества, определяемой в особых единицах, названных градусами (градусы Реомюра, Фаренгейта, Цельсия и другие). Переносчиками тепловой энергии (инерции) являются фотоны инфракрасного диапазона. Тепловая энергия (инерция) - это результат взаимодействия фотонов инфракрасного диапазона с внешними электронами атомов и молекул вещества. Присваивать характеристику температуры самим фотонам электромагнитного излучения, ионизированному газу, плазме, нейтронному веществу и веществу "чёрной дыры", которые не имеют структуры обычного вещества с внешними электронами, не имеет физического смысла. А также запостулированные эфирные частицы амеры эфиродинамики Ацюковского.
   Теперь о том, кто и как запутал понимание физического смысла температуры.
   Температурные шкалы был созданы Фаренгейтом, Реомюром, Цельсием и другими учёными. Остановимся на Цельсии.
   В 1742 году шведский учёный Цельсий также создал температурную шкалу. Он использовал тот же интервал между точками таяния льда и кипением воды. Однако он разделил этот интервал на 100 равных частей. Одна сотая этого интервала стала называться градусом Цельсия  [] .
   Теперь о температурной шкале Кельвина.
   В 1802 году французский учёный Гей-Люссак открыл закон изменения объёма данной массы газа в изобарном процессе.
   Закон Гей-Люссака: при изобарном нагревании газа от  [] относительное изменение его объёма пропорционально конечной температуре  [] , где -  [] называется коэффициентом объёмного расширения газа.
   При определении конечного объёма газа  [] .
   На основании этого в 1848 г. английский физик Кельвин (1824-1907 г.) сделал следующее. Он построил график изобарного процесса для газа данной массы. По оси абсцисс он откладывал температуру, а по оси ординат - объём.
   Это изображено на рис. 18.
  
    [] Рис. 18
  
   Как он рассуждал? Пусть при  [] газ занимает объём  [] .
   Начальное состояние газа обозначим точкой 1. Если нагреть этот газ до температуры  [] , то его объём увеличится в два раза точка 2
    [] [] . dd>   <; Точку 1 и точку 2 Кельвин соединил прямой и продолжил её до пересечения с осью абсцисс. Точку пересечения с осью абсцисс 3 он назвал абсолютным нулём.
   Так появилась шкала термодинамической температуры, в основе которой абсолютный нуль с температурой [] [] .
   Однако, точка 3 на рис. 18 не может существовать физически. Объём газа, ни при какой температуре не может быть равным нулю. Какая бы низкая температура не была - минимальный объём газа всегда будет существовать.
   Минимальный объём газа обозначим точкой 4. Через три точки 1, 2 и 4 проведём линию. Совершенно очевидно, что эта линия не прямая и она, естественно, не пересекается с осью абсцисс.
   Эта кривая - гипербола.
   Это изображено на рис. 19.
  
    [] Рис. 19
  
   Кельвин прекрасно знал об этом.
   Это было не что иное, как преднамеренный обман.
   Всё везде должно быть запутано и температура тоже.
   Гей-Люссак и Шарль считали, что их газовые законы действуют от  [] и они линейны. Но они тоже ошибались. Их газовые законы не линейны не только при температурах ниже от  [] , а при любых температурах. Однако, при использовании интервала от  [] до  [] , кривую можно заменить прямой. Температура, измеренная в этом интервале, будет содержать определённую относительно небольшую методическую ошибку. Но вне этого интервала ошибка в измерении температуры будет существенной, и неизвестно какой. Рассмотрим, на что указывают участки гиперболы вне интервала (от  [] до [] ).
   Участок гиперболы в области отрицательных температур указывает на то, что внешние электроны молекул газа излучают инфракрасные фотоны и перескакивают на орбиты максимально приближённые к ядру молекулы. Минимальное расстояние орбиты внешнего электрона до ядра молекулы говорит и о минимальном объёме газа. Когда у всех молекул газа орбиты внешних электронов расположатся на минимальных расстояниях от ядра молекулы - это и будет теоретический нуль температуры.
   Участок гиперболы в области положительных температур вне интервала от (от  [] до [] ). ( до ) резко устремляется вверх и имеет ограничение по оси абсцисс. Это говорит о том, что с ионизацией газа физический смысл температуры постепенно исчезает. С увеличением температуры газ ионизируется и переходит в состояние плазмы. Оказывается, что ионизированный газ и плазму характеризовать температурой уже нельзя. Это привело к цепочке последующих ошибок. Следствием этого стало появление ошибочной формулы Стефана-Больцмана и её применение для определения интенсивности солнечного излучения. Никаких миллионов градусов в природе не существует. Это заблуждение, а точнее преднамеренный обман.
  
   Теперь Вы поняли, почему температура ионизированного газа может быть миллионы градусов. Посмотрите снова на рис.18.
   Вот пример из академической науки, когда ионизированные водородные облака якобы обладают т температурой в миллионы градусов.
   Экстремальные температуры глубокого космоса: где жарче, а где холоднее всего. https://dzen.ru/a/ZCxwYYswh0Z-S_h_
  
   На поверхности Солнца - около 6 тысяч градусов. По логике, чем дальше от него, тем должно быть прохладнее. Температуре следовало бы убывать по мере удаления от светила. Но она, наоборот, растет. В сотни раз. Внешняя атмосфера Солнца - та самая корона - нагрета аж до миллиона градусов. А местами и сильнее. У поверхности Солнца атомы и молекулы атмосферного газа ионизируются, а затем сразу рекомбинируют. С удалением от поверхности Солнца атмосферный газ становится более разряжённым. Расстояния между атомами и молекулами увеличиваются, и рекомбинация становится затруднительной, а потом и вовсе прекращается. На этом участке атмосферы газ становится ионизированным. И, тогда согласно температурной шкале Кельвина, температура газа становится якобы миллионы градусов. Это просто невежество академической науки.
   Температура не связана с подвижностью атомов и молекул вещества, а связана с инерцией внешних электронов атомов и молекул.
   Ионизированный газ характеризовать температурой нельзя, не имеет физического смысла.
   Температурная шкала Кельвина ошибочная, точнее фальшивая.
  
   Используемые источники
  1. Николаев С.А. "Эволюционный круговорот материи во Вселенной", 9-ое издание, СПб, 2019 г., 352 с.

 Ваша оценка:

Связаться с программистом сайта.

Новые книги авторов СИ, вышедшие из печати:
О.Болдырева "Крадуш. Чужие души" М.Николаев "Вторжение на Землю"

Как попасть в этoт список

Кожевенное мастерство | Сайт "Художники" | Доска об'явлений "Книги"